Trong vài thập kỷ gần đây, đường cong elliptic đóng vai trò quan trọng đối với lý thuyết số và mật mã. Mật mã đường cong elliptic (ECC) được giới thiệu lần đầu vào năm 1991 bởi các công trình nghiên cứu độc lập của Neals Koblitz và Victor Miller. Độ an toàn của ECC dựa vào bài toán logarit rời rạc trên nhóm các điểm của đường cong elliptic (ECDLP). Đối với bài toán logarit rời rạc trên trường hữu hạn hoặc bài toán phân tích số, tồn tại các thuật toán dưới dạng dạng hàm mũ để giải các bài toán này (tính chỉ số hoặc sàng trường số). Tuy nhiên, đối với bài toán ECDLP cho đến nay vẫn chưa tìm được thuật toán dưới hàm mũ để giải
1. Đường cong Elliptic trên trường số thực
Đường cong Elliptic là đường cong có dạng:
y2= x3 + ax + b
Trước khi khảo sát đồ thị của đường cong Elliptic, chúng ta xem lại đường bậc 3 sau:
y = f(x) = x3 + ax + b
Nếu a>0 , f(x) đơn điệu tăng.
Nếu a<0, f(x) có 4 trường hợp sau: Đặt


Từ đó chúng ta có các trường hợp sau đây của đường cong Elliptic (không sử dụng trường hợp λ=0 vì lúc này đường cong bị gãy):

Hình dưới minh họa hai đường cong Elliptic y2= x3 –x và y2=x3 + x + 1

Trong đường cong Elliptic, chúng ta định nghĩa thêm một điểm O (điểm vô cực).
Gọi E(a, b) là tập các điểm thuộc đường cong y2= x3 + ax + b cùng với điểm O. Ta định nghĩa phép cộng trên tập các điểm thuộc E(a, b) như sau:
- Điểm O là phần tử đơn vị của phép cộng. Như vậy với P∈ E(a,b), P ≠ 0 thì P + 0 = 0+P=P . Trong phần tiếp theo ta giả định P ≠0 và Q≠0.
- Phần tử nghịch đảo của điểm P trong phép cộng, ký hiệu – P, là điểm đối xứng với P qua trục hoành, như vậy.
- Với 2 điểm P, Q bất kỳ, kẻ một đường thẳng đi qua P và Q thì sẽ cắt đường cong Elliptic tại một điểm thứ 3 là điểm S. Phép cộng P và Q sẽ là

Trong trường hợp P và Q đối xứng qua trục hoành, hay nói cách khác Q = -P thì đường thẳng nối P, Q sẽ cắt đường cong Elliptic tại vô cực, hay P + ( -P )=0. Điều này phù hợp với định nghĩa 2.
- Để tính P + P , ta vẽ đường thẳng tiếp tuyến với đường cong Elliptic tại P , đường thẳng này cắt đường cong tại điểm S, lúc đó R= P + P= -S.

Có thể thấy, tập E(a, b) cùng với phép cộng định nghĩa như trên tạo thành một nhóm Abel
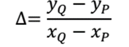
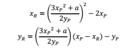
Tính giá trị của phép cộng:
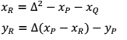
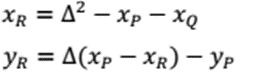
Gọi tọa độ của điểm P là (xp,yp) , của điểm Q là (xQ,yQ) . Ta tính tọa độ của điểm R = P + Q = -S như sau:
Đặt hệ số góc đường thẳng là Delta:

Ta tính được:

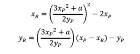
Tương tự, thực hiện tính tọa độ của điểm R= P + P = -S, khi yp ≠ 0 ta có:

2. Đường cong Elliptic trên trường Zp
Đường cong Elliptic trên trường Zp là đường cong có các hệ số thuộc trường Zp, đường cong này có dạng:
y2 mod p = (x3 + ax + b) mod p
Ví dụ trong trường Z23, chọn a =1,b=1,x=9,y=7 ta có:
7 2 mod 23=(93+ 9 +1)mod 23
49mod 23= 739 mod 23 =3
Khác với đường cong Elliptic trong trường số thực, chúng ta không thể biểu diễn đường cong Elliptic Zp bằng đồ thị hàm số liên tục. Bảng bên dưới liệt kê các điểm (x, y) của đường cong trong trường Z23 với a=1, b=1:


Cũng tương tự như khái niệm đối xứng qua trục hoành của đường cong Elliptic số thực, đường cong Elliptic Zp cũng đối xứng theo nghĩa đối xứng modulo. Giả sử điểm (x, y) thuộc đường cong Elliptic Zp trên thì điểm (x, p – y) cũng thuộc đường cong trên vì:
(p-y)2 = p2 – 2py + y2 ≡ y2 mod p
Ví dụ (1, 7) đối xứng với (1, 16) vì 7+16 = 0 mod 23. Hình vẽ bên dưới minh họa tính đối xứng này.

Các điểm đối xứng với nhau qua đường y = 11.5 . Riêng điểm (4, 0) xem như là đối xứng với chính nó.
Cũng tương tự như nhóm Abel E(a,b) định nghĩa trên đường cong Elliptic số thực, chúng ta cũng định nghĩa một nhóm Abel Ep(a,b) gồm các điểm của đường cong Elliptic Zp cùng với điểm vô cực O.
1) Điểm O là phần tử đơn vị của phép cộng. .
2) Phần tử nghịch đảo của điểm P trong phép cộng, ký hiệu – P, là điểm đối xứng với P, như vậy P + (– P) = O
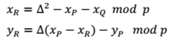
3) Với 2 điểm P, Q bất kỳ, phép cộng R= P + Q được xác định bằng công thức:

Trong đó:

Ví dụ: trong E23 (1,1) , chọn P = (3,10), Q=(9,7), vậy:


3. Đường cong Elliptic trên trường GF(2m)
Đường cong Elliptic trên trường GF(2m) là đường cong có các hệ số thuộc trường GF(2m), đường cong này có dạng hơi khác so với trên Zp:
y2 + xy = x3 + ax + b a,b,x,y ∈ GF(2m)

Bây giờ chúng ta sẽ xét tập E2m(a,b) gồm các điểm trên đường cong Elliptic này cùng với điểm vô cực O.
Ví dụ, xét trường GF(2m) với đa thức tối giản là m(x) = x4 + x + 1. Phần tử sinh g của trường này có điều kiện g4 = g +1. Bảng các lũy thừa của g là:

Xét ví dụ về đường cong Elliptic trên GF(24):
y2 + xy = x3 + gx + 1 (a=g4, b=1)
Bảng bên dưới liệt kê các điểm thuộc đường cong này
